中咨視界
徐成彬 張蓉 牛耘詩 | 經營權基礎設施REITs估值研究
| |||||
| |||||
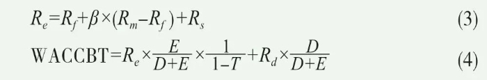
經營權基礎設施REITs估值研究 徐成彬 張蓉 牛耘詩 摘要:基礎設施領域不動產投資信托基金(REITs)資產分為經營權類和產權類,本文深入探討了兩類資產特征及其估值的差異性,從評估目的、價值類型、市場條件等方面分析了收益法估值對經營權REITs的適宜性,構建了經營權類基礎設施REITs的估值框架和模型;結合已上市的9只經營權REITs估值參數選取和項目周期價值變化的實際情況,特別是部分高速公路REITs破發現象,評價了估值結果的合理性。本文提出了經營權REITs估值應堅持權益屬性、合理選取核心參數、明確估值合理性判別依據、披露估值依據和運營管理信息、啟動擴募機制等結論建議。 關鍵詞:基礎設施領域不動產投資信托基金;經營權;資產評估;折現率 基礎設施不動產投資信托基金(以下簡稱基礎設施REITs)是我國投融資體制改革的重大創新,是金融服務實體經濟的重大舉措。基礎設施REITs估值直接影響二級市場定價和走勢,關系原始權益人募集資金規模和投資人收益率。自2021年6月21日首批9只基礎設施REITs在深滬證券交易所上市以來,截至2022年11月30日已有22只基礎設施REITs先后上市,累計募集資金756.76億元,市值827.58億元,平均漲幅9.36%。 按照基礎資產收益來源,基礎設施REITs試點項目可以分為兩大類:一是經營權類項目,如高速公路、污水處理和固廢處理等,共有9只;二是產權類項目,如產業園區、倉儲物流、保障性租賃住房等,共有13只。兩類項目特征和估值方法不同,二級市場波動幅度差異性較大,其中5只經營權REITs跌破了發行價。這一方面揭示了基礎設施REITs權益資產的內在屬性,另一方面反映了提升經營權REITs估值能力的重要性。本文從經營權REITs的特征辨析切入,結合9只REITs的估值實踐和市場表現,研究估值方法、模型和參數選取的基本邏輯及其合理性,分析了高速公路REITs破發現象背后的短期市場波動以及疫情等非市場原因,并對估值核心參數選取、估值合理性判斷依據、信息披露、擴募機制等方面提出建議。 一、經營權REITs與產權REITs的差異性 (一)特征差異 鑒于現行法律框架,我國基礎設施REITs試點階段采取了“公募基金+資產支持證券(ABS)”的獨特結構,要求基礎資產所屬的項目公司100%股權通過資產支持證券,完全轉讓給公募基金。基礎設施REITs試點項目申報時,要求項目權屬清晰、資產范圍明確,發起人(原始權益人)依法合規直接或間接擁有項目所有權、特許經營權或經營收益權。 從基礎資產的權屬性質看,所有權、特許經營權或經營收益權的內涵是不同的。所有權即產權,是發起人(原始權益人)擁有的一種物權,即依法對項目基礎資產享有的占有、使用、收益和處分的權利。特許經營權是政府授予法人實體的一項特權,即政府采用競爭方式依法授權原始權益人,通過協議明確權利義務和風險分擔,約定其在一定期限和范圍內投資建設運營基礎設施并獲得收益,提供公共產品或者公共服務的權利。經營收益權包括經營權和收益權,即政府授權經營者運營基礎設施并獲得收益的權利。 從基礎資產的土地權屬看,產權類項目的土地使用權主要通過協議出讓、招拍掛出讓或二級市場交易等有償方式取得,目前尚無劃撥方式先例;特許經營權類和經營收益權類項目的土地使用權,除了華泰江蘇交控REIT的服務區經營性用地由政府通過作價出資外,其他項目用地使用權均通過劃撥方式取得。 從基礎資產的收益期限看,產權類基礎設施REITs的存續年限主要取決于土地使用權的剩余年限,具體年限與土地性質有關。根據我國土地管理法規,保障性租賃住房、產業園區和倉儲物流、旅游類項目用地最長年限分別為70年、50年和40年,國有土地使用權時限自取得國有土地使用證的時間開始計算。相比而言,特許經營權原則上不超過30年;經營收益權期限由經營協議約定,也可以根據需要不約定具體年限。 鑒于上述特征,本文將特許經營權類和經營收益權類的基礎設施REITs統稱為經營權類基礎設施REITs(以下簡稱經營權REITs)。經營權REITs是以特許經營權或經營收益權為基礎資產的金融產品,主要聚焦政府授權類基礎資產,如公共服務(水、電、燃氣、有線電視等)經營管理者向用戶收費的權利,交通基礎設施(公路、橋梁、隧道、渡口等)經營管理者向過往車輛收費的權利,景區經營者向游客收費的權利,發電企業向電網公司收費的權利等。產權REITs與經營權REITs的主要差異見表1。 表1 產權REITs和經營權REITs的特征比較 (二)估值差異 產權REITs和經營權REITs的資產特征差異顯著,由此導致兩類資產的估值基礎不同。 一是資產估值構成不同。由于經營權類項目土地權屬不因項目公司股權交易而發生變更,因此其REITs資產估值結果主要取決于基礎資產的運營收益,不包含項目土地價值。經營權REITs的原始權益人需要承諾估值不包括土地使用權作價。產權類項目估值收入主要包括物業租金收入,基金持有期間的土地使用權溢價由投資人享受。 二是資產估值折現率不同。經營權REITs投資人在基金存續期間面臨著資產價值規模不斷縮小的趨勢,在收費期滿后,將按國家有關規定向政府或其指定的主管部門辦理無償移交手續(含項目用地移交),因此在基金存續期不僅需要獲得投資分紅,還要收回全部投資的“本金”,因而其估值的折現率一般較高,目前上市的9只經營權REITs估值的折現率大致在8%~10%。產權類項目擁有完整產權,基金持有期間的資產價值縮水不明顯,甚至存在增值利得,投資旨在獲得現金流分派,其折現率相對較低,基本上在6%~8%。 三是資產估值期限不同。經營權期滿后,原來被授權的經營者原則上必須重新公開競爭或展期談判,才可能獲得繼續經營權,因而其估值的收益期限一般就是資產剩余經營年限;產權類項目估值的收益期限取決于土地使用權的剩余年限,但到期按規定繳納展期的土地出讓金,一般可以擁有繼續使用權,從這個角度可以將其看作永續經營項目。 四是資產殘值處理要求不同。經營權類基礎設施經營期滿,資產通常需要無償移交給政府或其指定的機構,因此資產估值一般不考慮殘值;產權類項目資產折舊或攤銷年限往往長于經營期限,對期滿殘值進行折現,計入資產估值。 二、經營權REITs資產估值方法 我國經營權REITs估值還處于探索階段,評估方法、評估模型和參數選取等尚未形成統一規范的標準,導致估值結果在資本市場中缺乏參照價值和錨定效果,直接影響基礎資產評估結果的真實性、準確性和有效性。 (一)資產估值方法比較及適宜性 1.資產評估方法體系 資產評估方法體系是指評定估算資產價值所采用的途徑和技術手段的總和。資產評估方法體系包括市場法、收益法、成本法三種基本方法(見圖1)。其中,市場法也稱比較法,是基于均衡價值理論,采用比較和類比的思路,通過與近期出售同類資產的市場價格比較,調整確定評估資產價值。這種方法適用于市場活躍、公開,且近期有充足的、具有替代性交易實例的資產。收益法則是基于預期效用理論,從產出角度將評估對象未來預期收益折現。這種方法適用于整體資產或產生收益且可以獨立計算的單項資產。成本法是基于生產費用價值理論,按照重建或者重置評估對象的思路,將重建或者重置成本作為確定資產價值的基礎,扣除相關貶值,以此確定資產價值。這種方法適用于以資產重置、補償為目的的資產。 圖1 資產評估方法體系 2.經營權REITs估值方法的適宜性 本文從評估對象特征、評估價值類型、評估適宜條件等方面分析經營權REITs估值方法的適宜性,總體來看經營權REITs適宜采用收益法估值。 (1)評估對象的基本特征 經營權REITs資產屬于政府授權類無形資產,即由政府授權特定經濟主體所控制不具有實物形態、對生產經營長期發揮作用且能帶來經濟利益的資源。作為資產評估對象,基礎設施REITs基礎資產具有確定性、可轉讓性、時效性、排他性、現金流穩定性等特征,總體適宜于收益法估值(見圖2)。 圖2 經營權REITs資產基本特征 (2)評估價值類型 經營權資產評估主要為了交易、融資和合資(或合作),或者為了稅收和財務報告。基礎設施REITs估值主要目的是交易和融資,即在公開市場條件下為標準化金融產品提供公平交易的價值,為理性的買賣雙方在地位平等、信息公開、交易成本時間成本足夠低的市場上最終達成的一致價格。該類價值可以采用市場法、收益法和成本法進行評估,但收益法面向未來,更具適宜性(見圖3)。 圖3 資產評估方法適宜性(價值類型角度) (3)評估適宜分析 經營權REITs估值首選收益法,主要原因如下:一是我國基礎設施領域經營權交易市場的活躍度相對有限,且該類資產受項目情況、地域特征、合作條件等因素影響較大,可比案例數量較少,市場法的局限性較大。二是經營權REITs資產價值主要由效用決定,與成本具有弱對應性;此外,成本法還需要完備的歷史資料、可計算的資產價值耗費、現實資產與歷史資產具有可比性。三是經營權REITs資產具有自身經營期限長、收入穩定、現金流可預測等特點,與收益法存在天然的契合性。 (二)經營權REITs估值模型設計 1.估值框架 經營權REITs估值采用收益法,主要基于項目可分配現金流折現,即在剩余收益期限內對項目可分配現金流逐年折現累加(見圖4)。 2.估值模型 根據圖4,經營權類基礎設施REITs收益法估值模型如式(1)所示: 圖4 經營權REITs估值框架 從式(1)和式(2)可以看出,在明確基準期可供分配凈現金流(D0)條件下,基礎資產估值(PV*0)與可供分配凈現金流增長率(g)和折現率(r)呈現指數相關。 經營權類基礎設施預期收益具有較強的穩定性和一定的成長性,REITs預期收益一般都是基于歷史預測未來。基礎設施REITs試點項目申報要求近3年內總體保持盈利或經營性凈現金流為正,預計未來3年凈現金流分派率原則上不低于4%。因此,未來初始幾年可以看成是顯性的收益期,其增長率一般延續過去3年的發展趨勢。 (三)經營權REITs估值模型的核心參數 經營權REITs資產估值可采用收益法,影響資產估值的主要參數包括收益期限、預期收益和折現率(見表2)。 表2 收益法估值的核心參數 1.收益期限 收益期限是指資產具有獲利能力持續的時間。經營權REITs資產的收益期限一般根據有關法律、法規、契約、合同等進行測定。 根據《基礎設施和公用事業特許經營管理辦法》,基礎設施和公用事業特許經營期限最長不超過30年,一般為10~30年。某些特殊領域的項目由于行業特點、公共產品或服務需求、項目生命周期、投資回收期等因素,經營期限具有一定特殊要求。如國家民用空間基礎設施遙感衛星項目經營期限一般為8~10年,大型水利樞紐項目經營期限通常超過30年,多為50年。 2.預期收益 經營權REITs預期收益應考慮項目近3年運營穩定性,并對比項目可行性研究階段的預期值,在合理確定基準年收益的基礎上,統籌價格增長和服務量增長兩個方面。其中價格增長應考慮調價機制;服務量增長率應考慮設計能力、項目特點、項目周期、空置率和市場競爭,以及特許經營協議(或PPP合同)約定的最低需求量等因素。 經營權REITs的運營成本、資本性支出可根據項目類型、歷史數據以及經營計劃進行預測。其中,運營成本可按運營收入的一定比例估算。 3.折現率 收益法評估所采用的折現率本質上是一種期望投資報酬率,是投資者在投資風險一定的情況下,對投資所期望的最低回報率。它不僅要反映資金的時間價值,還應當體現與收益類型和評估對象未來經營相關的風險,與所選擇的收益類型與口徑相匹配。目前折現率的測定主要采用資本資產定價模型法(CAPM)、所得稅前加權平均資金成本法(WACCBT)、風險累加法等。 資本資產定價模型法(CAPM)和所得稅前加權平均資金成本法(WACCBT)的基本公式如式(3)和式(4)所示: 式中,Re是權益資金成本,無風險回報率(Rf )、風險系數(β )、市場風險超額收益率(Rm-Rf ,即ERP)、特有風險超額回報率(Rs)、債務資本成本(Rd)等參數的取值存在一定差異,E、D、E/(D+E)、D/(D+E)分別為股東權益、企業負債、股權占總資本比率、債務占總資本比率。T指所得稅率,若項目運營期存在“三免三減半”等稅收優惠政策,應分別說明各年的所得稅率。資本結構一般可采用被評估企業評估基準日的真實資本結構,也可以參考可比公司,行業資本結構水平采用目標資本結構;若收益期限內資本結構變化幅度較大(如真實資本結構與目標資本結構差異較大等),可采用動態資本結構。 (四)核心參數的選取原則與方法 在經營權REITs估值過程中,收益期限、運營收入及其增值率、折現率等核心參數的選取十分關鍵。從經營權類基礎設施的基本估值模型式(1)及其改進模型式(3)可以看出,折現率(r )和預期收益增長率(g)對估值(PV*0 )的影響呈現指數變化關系,其合理性直接影響估值高低及其二級市場表現,參數選取應符合相關原則與方法。 1.收益期限的選取 經營權REITs資產的收益期限,一般即為剩余經營期限,同時還應符合相關法律法規、政策文件對經營權轉讓的要求。如《收費公路權益轉讓辦法》規定,收費時間已超過批準收費期限2/3的,收費公路權益中的收費權不得轉讓。某些經營收益類項目的收益期限還應考慮評估對象的預期壽命、土地剩余使用期限、法律法規和相關合同等多種因素綜合確定。 2.運營收入基準值及其增長率的選取 經營權類基礎設施具有一定的獨占性,用戶及其付費具有很強的穩定性。因此,經營權REITs運營收入基本上是基于歷史預測未來,需要合理確定基準值和未來增長率。 確定收入基準值應遵循以下原則:如果項目近3年運營穩定,則綜合考量特許經營協議(或PPP合同)中對基準值的限制條款以及評估基準日當年實際發生的平均價格和產量,按照孰低原則確定基準值;如果項目近3年運營不穩定,則應初步選擇基準值后,剔除偶然性或突發性因素的影響,進一步修正確定基準值。一般項目可采用評估基準日前的3個年度內價格、產量的平均值或回歸分析后確定評估基準值;已服務年限較長、價格或產量波動大的項目,可向前延展至5~10年。 REITs存續期間運營收入的增長率與行業特性和項目運營穩定性有關,個性化特征明顯,增長率主要取決于價格增長率和服務量增長率。 (1)價格增長率 基礎設施服務定價方法主要包括政府定價(含政府指導價)和市場定價兩種。經營權REITs資產屬于重要公用事業、公益性服務和自然壟斷經營的商品和服務,因此主要采用政府定價法。如污水垃圾處理費單價和通行費收費標準通常依據項目所在地發布的相關政策或者已簽署的特許經營權協議確定,其價格增長率根據相關政府價格政策執行或特許經營協議(或PPP合同)中的調價機制執行。 (2)服務量增長率 基礎設施服務量增長率需要綜合項目特點、項目周期、市場競爭等因素,并結合相關法律合同進行確定。大多數基礎設施項目的服務量可以達到設計能力,但也有部分項目一直存在空置率。如果項目服務量已達設計能力,服務量增長率可按無增長考慮;若已知國家產業政策、行業發展趨勢等外部因素對服務量有影響,應作相應調整。如果項目服務量未達設計能力,可根據項目實際情況采用回歸分析法、時間序列法等方法計算增長率。 基礎設施服務量還需考慮特許經營協議(或PPP合同)有關約定最低需求量。例如,污水垃圾處理項目和高速公路項目的主要營業收入分別為污水垃圾處理費收入和車輛通行費收入。污水垃圾處理費收入由污水垃圾處理費單價和處理量決定,車輛通行費收入由通行費收費標準和車流量決定。若預期污水或垃圾處理量、預期交通量低于合同約定的最低需求量,按合同約定最低需求量處理;若預期量高于合同約定的最低需求量,按預期量處理。 3.折現率的選取 基礎設施REITs是市場化的定價機制,經營權REITs估值采用的折現率反映了項目和投資人的個性化特征和風險偏好,集中表現在風險系數(β)、原始權益人特有風險超額回報率(Rs )、債務資本成本(Rd)和股債比等參數取值,不宜規定全國統一的行業基準折現率。從上文中式(2)和式(3)估值模型看,折現率越低,資產估值越高。如果折現率選取過低,將導致估值情況過于樂觀,REITs發行后難以通過市場檢驗,可能導致市值縮水。因此,為保障經營權REITs估值的合理性,折現率的合理選取是重中之重。 (1)Rf:無風險回報率 Rf 是指投資者投資無風險資產的期望報酬率,該風險資產不存在違約風險。通常可以用國債的到期收益率表示,選擇國債時應當考慮其剩余到期限與企業現金流時間期限的匹配性。在REITs項目估值中,無風險回報率的選取通常參考中國國債利率。 (2)β:風險系數 β表示系統性因素給股權投資者帶來的不可分散的風險,由REITs投資收益率與市場收益率的協方差除以市場收益率的方差得到。β 等于1,表示REITs投資風險與整體市場風險相當;β大于1(或小于1),表示REITs投資風險大于(或小于)整體市場。 經營權REITs估值時,風險系數理論上由同行業上市REITs的平均系數調整得到。由于我國基礎設施REITs上市產品的數量和規模有限,實踐中可選取與基礎設施基礎資產性質相同、經營規模相近、資本結構相似的國內A股同行業上市公司,查取可比上市公司的有財務杠桿貝塔系數βL、帶息債務與權益資本價值比值、企業所得稅率,并求取可比上市公司無財務杠桿貝塔系數βU的平均值作為評估對象無財務杠桿的系數βU,最后考慮評估對象的實際資本結構而得βL。 (3)Rm-Rf:市場風險超額收益率(ERP) 市場風險超額收益率(ERP)是指投資者對與整體市場平均風險相同的股權投資所要求的預期超額收益,即超過無風險利率的風險補償。ERP通常可利用市場的歷史風險超額收益數據進行測算,如利用中國證券市場指數(滬深300指數、上證綜合指數等)的歷史風險溢價數據計算、采用其他成熟資本市場風險溢價調整方法、應用相關專家學者或者專業機構研究發布的數據等。 (4)Rs:被評估企業特有風險超額回報率 Rs一般可以通過以下方法確定:一是通過多因素回歸分析等數理統計方法計算得出。二是將被評估企業特有風險超額回報率拆分為規模溢價和其他特定風險溢價。規模溢價可以利用資本市場數據通過統計分析等到,也可以參考相關專家學者或者專業機構研究發布的數據;其他特定風險溢價一般可以通過經驗判斷分析確定。三是在對企業的規模、核心競爭力、對大客戶和關鍵供應商的依賴等因素進行綜合分析的基礎上,根據經驗判斷確定。 (5)Rd:債務資本成本 Rd是指企業債務融資的資金成本,一般可通過以下方法確定:一是以全國銀行間同業拆借中心公布的貸款市場報價利率(LPR)為基礎調整得到;二是采用企業債務的實際利率,前提是其利率水平與市場利率不存在較大偏差。 (6)Re:權益資金成本 權益資金成本通過資本資產定價模型(CAPM)計算得到,受無風險回報率Rf、風險系數β、市場風險超額收益率Rm-Rf和特有風險超額回報率Rs這四個指標取值的共同影響。 除以上六個重要參數外,折現率的計算結果還受到杠桿系數(D/E)的影響。不同基礎資產的杠桿系數存在差異,也將導致資產估值折現率選取的差異。 三、經營權REITs資產估值方法的實踐應用 截至2022年11月30日,在深滬證券交易所上市的22只基礎設施REITs產品中,9只經營權REITs合計募集資金469.18億元,占全市場募集資金總規模的62.0%。其中,中航首鋼綠能REIT基礎資產為固廢處理和生物質能源項目,富國首創水務REIT基礎資產為污水處理項目,其他7只REITs基礎資產均為高速公路項目。 (一)參數選取及估值 9只經營權REITs資產估值中的核心參數選取如下。 1.收益期限的選取 根據項目申報材料,已上市9只經營權REITs的基礎資產收益年限均按照特許經營權協議確定,平均剩余收益年限為16.56年。由于特許經營期限一般為10~30年,且發行REITs的基礎資產需要一定的培育時間才能進入運營穩定期,多數項目的剩余收益期限集中在10~20年,如圖5所示。其中,富國首創水務REIT的深圳項目剩余收費期限為13年,安徽合肥項目剩余收費期限為27年;中金安徽交控REIT的高速公路項目分東段、中段、西段三個路段分期建設,剩余年限分別為14.5年、15.5年和14.0年。 圖5 9只經營權REITs資產剩余收益年限 2.預期收益的選取 (1)價格增長率的選取 現已上市的9只經營權基礎設施REITs估值中,預測單價均采用評估基準日當年實際執行的單價,并且在未來經營預測中未考慮單價的上漲。例如,廣河高速估值預測中的通行費收費標準根據《廣東省人民政府關于調整收費公路車流通行費計費方式的批復》(粵府函〔2019〕416號)確定;富國首創水務深圳項目的估值嚴格根據深圳首創與深圳市水務局簽署的《深圳市公明水質凈化廠(一期)提標改造補充協議》《深圳市松崗水質凈化廠(一期)提標改造補充協議》及《深圳市福永水質凈化廠(一期)提標改造補充協議》中約定的污水處理費單價進行預測。 (2)服務量增長率的選取 高速公路的交通量必須以現有收費數據為基礎,預測時充分考慮實際的增長速度、可競爭交通方式和其他道路的分流車流量等因素,其中交通量增長速度主要考慮經濟增長速度、產業布局情況,以及貨物種類、鐵路、水運的規劃等情況,具體項目要具體分析。7只已發行高速公路REITs估值預測的車流量都有一個增長率區間(見圖6)。可以看到,不同項目在REITs存續期內的交通量增長率和變化幅度存在較大差異,使得高速公路REITs上市后的市場表現直接受其實際交通流量影響。 圖6 高速公路REITs估值相關的交通量增長率 在污水垃圾處理項目的產量已達設計能力的情況下,估值預測的服務量增長率基本按照無增長考慮。以富國首創水務REIT為例,其基礎資產分別位于深圳和合肥,預測污水處理結算量以目前已經達到的實際產能為基礎,其中合肥項目四期2020年7月31日轉入商業運行,設計產能從20萬噸/日提升至30萬噸/日,預計2021年的日均污水結算量達到設計產能的80%,2022-2024年結算量增長率分別為8.33%、7.69%、7.14%,2025年至特許經營期結束的結算量增長率為0。首鋼綠能項目年度垃圾處理量按照110萬噸預測,與評估基準年垃圾處理量相同。 3.折現率的選取 9只已發行經營權類基礎設施REITs的估值預測中,采用的折現率存在一定差異。折現率相關參數選取對比如表3所示。9只REITs的估值預測均采用了稅前加權平均資本成本模型(WACCBT)計算折現率,但由于該模型的債務資本成本(Rd)、無風險回報率(Rf)、風險系數(β)、市場風險超額收益率(Rm-Rf,即ERP)、特有風險超額回報率(Rs)等參數的取值存在一定差異,導致各個項目估值采用的折現率差異明顯。 表3 經營權REITs的折現率計算對比 (1)Rf:無風險回報率 盡管無風險回報率的選取通常參考國債利率,但其數值受評估基準日、國債期限(如5年、10年或15年)的影響而有所差異。例如,渝遂高速公路項目的評估基準日為2020年6月30日,無風險回報率參照我國已發行的10年期國債到期收益率的平均值確定為2.82%;中交嘉通高速項目的評估基準日為2020年12月31日,無風險回報率參照距評估基準日到期年限10年期以上的國債到期收益率,確定為4.04%,兩者之間存在較大差異。 (2)β:風險系數 由于A股高速公路上市公司相對穩定,因此上市公司無財務杠桿貝塔系數βU的平均值差異較小。在現已上市的高速公路REITs中,華夏越秀高速的風險系數β取值最小,為0.5103;浙商滬杭甬高速的風險系數β取值最大,為0.8466。兩者之間差異很大,主要原因為受評估標的公司(項目公司)杠桿系數(D/E)的影響,越秀高速的杠桿系數為221.75%,滬杭甬高速的杠桿系數為88.54%。 (3)Rm-Rf:市場風險超額收益率(ERP) 不同項目估值確定市場風險溢價的方法不同,會導致結果差異較大。例如,中交嘉通高速取滬深300指數開始日至評估日期間的平均報酬率作為市場預期報酬率Rm,查取證券市場平均報酬率Rm為10.54%,市場風險超額收益率Rm-Rf為6.50%;廣河高速的市場風險超額收益率取值為2.34%(未披露詳細過程),兩者之間差異顯著。 (4)Rs:被評估企業特有風險超額回報率 特有風險超額回報率主要考慮評估標的資產在經營規模、經營風險、所屬區域經濟發展狀況等方面具有的特有風險。特有風險超額回報率尚無統一的選擇方法,這導致不同項目的系數取值差異較大。例如,滬杭甬項目的Rs取值為0.5%,中交嘉通和渝遂高速的Rs取值為1.00%,越秀高速的Rs取值為1.77%,廣河高速的Rs取值為2.25%。 (5)Rd:債務資本成本 除華夏中交嘉通REIT的債務資本成本詳細數據未披露外,其他8只REITs的債務資本成本存在一定差異,最高成本與最低成本之間相差95個BP,說明不同項目之間的融資成本有所不同,但差異相對較小。 (6)Re:權益資金成本 權益資金成本通過資本資產定價模型(CAPM)計算得到。如前述參數取值所述,β、Rm-Rf和Rs這三個指標取值差異明顯,且基礎資產的杠桿系數(D/E)差異也較大,導致計算得到的權益資金成本Re差異也較為顯著。取值最高的是中交嘉通項目,權益資金成本為10.50%;最低的廣河高速為7.77%,兩者相差2.73%。 (7)折現率選取 9只經營權REITs采用的折現率如圖7所示。從估值模型看,折現率越低,資產估值越高。折現率選取過低,將導致估值情況過于樂觀,REITs發行后難以通過市場檢驗,可能導致市值縮水。因此,為保障經營權REITs估值的合理性,折現率的合理選取是重中之重。圖7顯示,9只REITs估值的折現率均不低于8%,中航首鋼綠能REIT、富國首創水務REIT、華夏越秀高速REIT和國金鐵建渝遂REIT的折現率均高于9.5%,相對保守;其余5只REIT折現率在8%~9%,其中平安廣州廣河高速REIT的折現率最低(8%),其次為華夏中交嘉通REIT,申報階段的折現率為8.06%,再次為浙商滬杭甬REIT,折現率為8.40%,中金安徽交控REIT和華泰江蘇交控REIT的折現率分別為8.59%和8.67%。 圖7 經營權REITs的折現率 4.估值結論 截至2022年11月30日,在深滬證券交易所上市的9只經營權REITs合計募集資金469.2億元,占全市場募集資金總規模的62%。9只經營權類基礎設施項目的竣工決算投資、REITs申報階段的資產賬面凈值和收益法估值、REITs發行階段的實際募集資金規模,以及存續期市值的比較如表4所示。 表4 已上市的經營權REITs項目估值比較 (二)估值結果合理性 在REITs項目申報階段,基于收益法的資產估值是原始權益人對項目建設投資或資產購置對價的當前價值判斷,普遍高于資產賬面凈值,其合理性留待網下競價階段的投資人認可,以及REITs存續期的進一步市場檢驗。REITs發行時的網下認購倍數是資產估值合理性的重要風向標;在REITs發行后的存續期間,現金流分派率直接反映了資產的獲利能力,在可分派現金相對確定情況下,現金流分派率與估值大小成反比;存續期價格走向不僅是對項目申報階段資產估值的修正,也是對項目生命周期價值的再發現。 1.溢折價比例或倍數 在經營權類基礎設施項目的不同階段,其投資規模或資產價值是變化的。基礎設施REITs試點項目申報材料需要提供竣工決算投資、經營期限及其起止時間等信息,據此可以分析確定基礎資產原值和賬面凈值,作為判斷REITs估值溢價或折價的依據。其中,資產賬面凈值是基于歷史成本(竣工決算投資)扣除累計折舊和攤銷測算,申報階段估值是基于未來現金流的收益法估值,實際發行募資規模是市場對資產價值的再發現。 對比資產賬面凈值和申報階段估值,可以發現,除了中航首鋼綠能折價發行(折價率為58.84%)、富國首創水務未披露完整數據,其他7單經營權REITs估值相比資產賬面凈值,都存在不同程度的溢價,最高為中金安徽交控,溢價4.24倍;其次為浙商滬杭甬,溢價3.55倍(見表4)。總體而言,預計未來現金流的收益法估值與基于歷史成本的資產凈值遵循不同的邏輯,不具有可比性,但在一定程度上反映了國有資產的保值增值情況。 對比申報階段估值和實際發行募資規模,可以看出,中航首鋼綠能、富國首創水務募集資金規模分別是資產估值的1.23倍和1.07倍,存在一定程度的溢價發行;其他7個高速公路REITs募集資金規模相比資產估值,都存在一定程度的折價發行,其中最低比例為國金鐵建渝遂(0.88),最高比例為浙商滬杭甬(0.98)。總體而言,9單經營權REITs的實際發行規模基本接近資產估值。 2.網下認購倍數 從表4可以看出,相對于基于歷史成本的資產賬面凈值,除了中航首鋼綠能REIT,基于收益法的REITs資產估值都存在不同程度的溢價,有的基礎資產評估值溢價數倍于賬面凈值。 自首批基礎設施REITs產品上市以來,基礎設施REITs的投資價值日益得到投資人的認可,申報認購倍數屢創新高,逐漸成為“香餑餑”。首批9個項目的機構網下平均認購倍數為8.29倍,其中中航首鋼綠能、富國首創水務、平安廣州廣河和浙商滬杭甬的網下有效報價認購倍數分別為11.13倍、8.35倍、4.56倍和4.86倍。隨著市場對REITs的認知度提高,2021年12月發行的越秀收費公路REIT網下認購倍數躍升至44.19倍,2022年4月中國交建REIT的網下認購倍數達37.17倍。此后,國金鐵建渝遂、華泰江蘇交控、中金安徽交控網下有效報價認購倍數分別為33.03倍、116.28倍和45.12倍,均實現了配額發售,充分體現了市場主體對經營權REITs估值的認可。 3.凈現金流分派率 目前,中航首鋼綠能、富國首創水務、平安廣州廣河、浙商滬杭甬、華夏越秀高速、華夏中交嘉通、國金鐵建渝遂共7只經營權REITs已發布2022年三季報,華泰江蘇交控和中金安徽交控發行時間較晚,暫時沒有可以參考的公開財報。根據季報數據,截至2022年9月30日,7只REITs的可供分配金額和完成率如表5所示。 表5 經營權REITs的可供分配金額及完成率(截至2022年9月30日) 從可供分配金額完成率看,中航首鋼綠能REIT第三季度可供分配金額為1079萬元,前三季度可供分配金額超過5000萬元,完成率為49%;第四季度的垃圾處理、發電等收入到賬相對集中,2022年全年可供分配金額預計完成率達到80%以上(不含應收賬款);如果第四季度的應收賬款(約2800萬元)能到位,那么全年可供分配金額能夠達到10800萬元,將超過2021年估值時的10200萬元目標。富國首創水務的可供分配金額完成率為73%,主要原因是合肥項目所在的長江流域三季度遭遇嚴重干旱,導致收入相比2021年同期下降。收費公路項目的可供分配金額完成率在65%~73%,完成情況相較預期水平略有差距,總體不及75%,主要受到疫情防控、減免通行費政策等因素影響。總體而言,如果排除新冠疫情和極端天氣等不可控因素,應收賬款也及時到位,則經營權REITs的2022年可供分配金額完成率預計都超過80%,基本達到預期目標。 4.二級市場表現 REITs二級市場的走勢也是投資人關注的重點。截至2022年11月30日收盤,22只基礎設施REITs加權平均上漲幅度為9.22%,但9只經營權REITs加權平均上漲幅度為-3.65%,其中5只跌破發行價。從經營權REITs二級市場實際表現看,折現率與二級市場漲跌幅度的關聯度較高(見圖8),基本上反映了折現率越低→估值越高→二級市場長期漲幅越小的基本邏輯。 圖8 經營權REITs的折現率和二級市場表現 按照REITs估值采納的折現率從低到高的順序:平安廣州廣河高速REIT的折現率最低(8%),2021年6月21日上市至2022年11月30日價格下跌12.43%;其次為華夏中交嘉通REIT,申報階段的折現率為8.06%,2022年4月28日上市至2022年11月30日價格下跌10.99%;再次為浙商滬杭甬REIT,折現率為8.40%,2021年6月21日上市至2022年11月30日價格微跌0.14%。中金安徽交控REIT和華泰江蘇交控的折現率分別為8.59%和8.67%,均高于8.5%,目前上市時間均不足15日,其漲跌尚不具有參考性。相對而言,富國首創水務REIT、華夏越秀高速REIT和國金鐵建渝遂REIT的折現率均高于9.5%,估值相對保守,二級市場價格從未破發,漲幅相對較高。 總體而言,現上市的9單經營權REITs折現率最低值為8%,基本反映了資產的長期內在價值和存續期投資者的最低預期回報率,取值相對合理。現階段二級市場的短期破發與估值關系不大,主要受到短期的市場因素和非市場因素的影響。 (1)基礎設施REITs的價格破發是資本市場權益類融資的一種正常波動現象 基礎設施REITs是基于項目信用的權益性融資,沒有擔保、抵押和其他增信措施。自首批基礎設施REITs上市以來,基礎設施REITs的數量和規模不斷增長,資產類型日益豐富,但二級市場價格一直處于波動狀態。例如,2021年6月21日首批9只REITs上市日收盤時全部收陽,平均漲幅為3.7%;2022年6月21日中國REITs市場1周年時,首批上市的9只REITs產品迎來解禁,累計上市的12只產品平均漲幅為21%;2022年9月30日收盤時市場17只REITs的平均漲幅為20%;2022年9月30日收盤時市場17只REITs的平均漲幅為20%;10月14日收盤時市場20只REITs的平均漲幅為18.3%;截至2022年11月25日收盤時上市22只REITs的平均漲幅為9.36%。 基礎設施REITs的基礎資產具有一定的壟斷性和排他性,高速公路、固廢和污水處理等經營權類資產收益相對穩定。以高速公路項目為例,每公里通行費是判別預期收益能力的重要指標,可將高速公路REITs項目每公里通行費與全省高速公路的平均收費水平進行比較。如位于湖北省的中交嘉通高速公路,全長90.975公里,自2019年大通道拉通后通行量持續增長,當年實際交通量和2020年計算交通流量均超過項目可行性研究報告同期預測水平;2019年實際通行費收入為46,634萬元,每公里通行費收入約512萬元,超過湖北省平均水平(每公里374萬元),表明其運營收入較穩定,估值相對可靠。 隨著投資人對基礎設施REITs的認知逐漸深化,二級市場的總體表現處于穩健狀態。近一個多月的基礎設施REITs市值跌幅相對較大,主要受資本市場整體環境的影響。二級市場的價格和市值的起伏變化,也詮釋了基礎設施REITs權益性資產的本質特性,而非屬于固定收益的債權產品。 (2)部分高速公路REITs的二級市場價格破發主要受新冠疫情等非市場因素影響 高速公路是受新冠疫情影響最大的基礎資產之一,必要時必須執行免費通行的優惠政策,車流量和收費起伏較大。例如,受疫情影響,中國交建嘉通高速、安徽交控沿江高速、江蘇交控滬蘇浙的項目公司的營業收入2020年較2019年分別下降19.27%、19.54%和17.34%,凈利潤和息稅攤銷折舊前利潤(EBITDA)受疫情影響產生較大波動,但近3年總體運營狀況較為成熟,運營收入和盈利水平相對穩定。 2022年10月以來,新冠疫情反復,傳播速度加快,國內諸多省市疫情防控壓力顯著加大,交通出行普遍受到很大限制,高速公路收費影響首當其沖,投資人的短期信心受到明顯擾動。可以預見,隨著疫情防控形勢的好轉,恢復正常通行收費后,車流量增長較快,高速公路REITs的二級市場價格也必將理性回歸至其內在價值。 四、結論與啟示 本文從經營權類基礎設施REITs的特征切入,從評估目的、價值類型、市場條件等方面分析了收益法估值的適宜性,構建了經營權類基礎設施發行REITs的估值框架和模型,明確了收益期限、預期收益、折現率等參數選取原則和方法,并分析其在已上市9只經營權REITs資產估值中的應用情況。研究發現,經營權REITs與產權REITs遵循不同的估值邏輯,經營權REITs估值一般不含土地使用權,經營期滿時將無償移交,持有期間存在“還本”付息的內在需求;基于收益法的經營權REITs估值結果基本接近市場真實交易水平或符合市場預期,具有較高的合理性。在估值模型中,預期凈現金流增長率和折現率與資產估值呈指數相關,相關參數選取方面還有待進一步優化。 建議下一步從分段測算收益增長率、合理確定高速公路等資產折現率等方面進行估值優化,以便更好地評估REITs資產當前價位合理性以及資產未來的增值能力,為后續其他基礎設施REITs產品的發行上市提供借鑒意義。 一是堅持基礎設施REITs權益屬性。基礎設施REITs估值是基于項目自身信用,收益來源于項目現金流,實際現金流分派率與資產估值和二級市場價格有關,現行政策要求的4%現金流分派率是一種預期值,并非固定回報;鑒于產權REITs和經營權REITs的差異性以及融資成本不斷下降的趨勢,從長遠看,產權REITs要求的現金流分派率將會下降,而經營權REITs要求的分派率將會上升。發行階段溢價或折價是對基礎資產估值的修正,二級市場的短期價格波動是權益性資產的正常表現。因此,應防止將REITs做成債性產品。 二是合理選取估值模型的核心參數。鑒于經營權REITs屬于10年以上的長周期投資,預期收益(可供分配金額)與其提供的服務量密切相關,而服務量(如交通流量、污水處理量等)往往是一個逐漸增長的“爬坡”過程,達到一定年限后將進入穩定期,因此估值實踐應充分考慮歷史數據和未來規劃,分階段預測顯性期、半顯性期和穩定期的收益增長率,合理對各階段凈現金流進行折現估值。顯性期一般可取3年,延續近3年的增長趨勢;顯性期與穩定期之間為半顯性期,其收益率應根據項目特征、行業發展和周邊規劃綜合考慮。如果發行REITs時經營權類基礎資產已運營多年,趨于穩定,則可以不考慮半顯性期。經營權REITs估值應將折現率作為重點,近期高速公路REITs折現率不宜低于8%。 三是明確估值結果合理性判斷依據。經營權REITs估值相對合理,在保障國有資產保值增值、引導公允發行定價、穩定二級市場價格、保護投資人利益等方面具有重大意義,但現階段還存在同類資產交易數量有限、假設檢驗難以落地、溢價率或折價率標準不統一等問題,有待進一步市場發展和研究探索。建議基于全生命周期進行價值動態比較,收益法估值一般要高于歷史成本的資產凈值,具體溢價比例或倍數不應作為合理性依據;網下認購倍數或配額比例一定程度上反映了投資信心。經營權REITs要堅持長期價值投資,預期現金流分配率及其實際完成率是行之有效的判別指標。 四是披露估值依據和運營管理信息。基礎設施REITs是市場化融資行為,充分披露經營權REITs估值信息,有助于投資人理性決策。鑒于折現率取值不僅影響基礎資產估值,還與二級市場漲跌幅直接相關,特別對于估值較高的高速公路項目,發行REITs時應充分披露折現率、收益增長率等參數選取情況;強化上市后的運營管理,及時路演溝通,增進信息交流。 五是啟動經營權REITs擴募機制。相比產權REITs,經營權REITs剩余年限相對較短,普遍存在資產價值逐漸“縮水”現象。隨著REITs新購入資產的進入,經營權REITs將逐步被打造為資產上市平臺,擴募機制將有效沖抵初始入池資產凈值逐年歸零趨勢,做大市場規模,增強流動性,為二級市場穩定發展奠定基礎。 注:原文載自《證券市場導報》2022年第12期 | |||||
相關鏈接
- 學習貫徹二十大精神 | 我國生態...2023-01-06
- 李開孟 等 | “工程價值論”研...2023-01-05
- 丁進 | 投資項目后評價的核心價...2023-01-04
- 汪志鴻 于德營 馬天澤 | 國產...2023-01-03
- 徐成彬 | ?投資項目ESG評價...2022-12-30














